数値シミュレーションプログラム開発

研究やプログラム開発でお悩みはありませんか?
お悩み1
研究でどのアルゴリズム採用したらよいか知識がなく、分からない
お悩み2
研究に専念するためプログラム開発は専門家に支援してほしい
お悩み3
論文の内容や方程式をスパコンを使って検証してほしい
メトロの数値シミュレーションプログラム開発で解決します
お客様の研究や開発における課題解決を支援いたします。
一般的なアプリにはない機能の開発や、論文の計算手法の実装などを行います。
- 数値シミュレーションプログラムに適用するアルゴリズムの提言・開発
- 科学技術計算プログラムの開発
ヒアリング
研究テーマやお困りごとなど、お客様のご要件をヒアリングしご支援内容と成果物を決定します
開発
テーマに即した科学技術計算プログラムを開発します
ご提供
報告書やプログラムをお渡しします
適用分野の例
航空機・自動車

近未来型ものづくりを先導する革新的設計・製造プロセスの開発
創薬

生体分子システムの機能制御による革新的創薬基盤の構築
医療

個別化・予防医療を支援する総合計算生命科学
材料

近未来型ものづくりを先導する革新的設計・製造プロセスの開発
原子力

生体分子システムの機能制御による革新的創薬基盤の構築
気象

個別化・予防医療を支援する総合計算生命科学
数値シミュレーションプログラム開発 実績
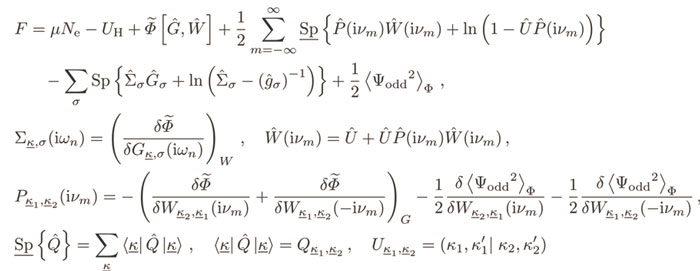
GW 近似を超えた第一原理計算手法の開発(2019年日本物理学会秋季大会発表)
現在の第一原理計算手法の中では、GW近似が電子相関の比較的弱い物質に対してその特性の定量的な説明を可能にしています。 しかし、電子相関の強い物質に対しては依然として正しい描像を与えないこともあり、GW近似を超えた第一原理計算手法の開発が望まれているため、GW近似を超えた新たな計算手法を開発しました。
新たな計算手法(VCGWA)

Φの計算に関するFeynman規則
|
![]() |
適用例(T=300Kでのフッ化水素の結合解離ポテンシャル)

非平衡Green関数法に基づいた微視的な電流の可視化および電流誘起力の計算
(地球シミュレータ産業戦略プログラム利用課題)
タイトバインディングモデルに基づき非平衡Green関数を計算し、電流を計算するプログラムを開発しました。
ナノ炭素量子伝導シミュレーション
非平衡グリーン関数法による微視的な電流の計算
| 通常 | サイズN×N(N=4×全粒子数)の行列の逆行列計算の計算が必要 →計算量はNの3乗 |
|---|---|
| 本研究 | 埋め込みポテンシャル法を適用 →サイズがM×M(M=4×1層内の原子数)の多数の行列・行列積、逆行列計算 →計算量はオーダー(N)。大規模計算可能 |

計算結果(CNTの微視的電流密度)

その他
- 並列古典モンテカルロシミュレーション
- 有限体積法による粒界酸素浸透シミュレーション
- マルチグリッド法を用いた大規模連立一次方程式(Poisson方程式)の計算
- Baileyアルゴリズムによる多倍長演算を用いた高速フーリエ変換
- 分子軌道法プログラムにおける2電子積分計算の並列化
- 第一原理バンド計算プログラムを使った角度分解光電子スペクトルの計算
- SS法(桜井-杉浦法)による固有値・固有ベクトルの計算手法のバンド計算への応用
- スレーター型基底関数を用いた有限電子温度での分子軌道法
- 電子相関を考慮した第一原理バンド計算の定式化とその計算方法-有限電子温度での電荷揺らぎとスピン揺らぎの計算
- GW近似を超えた電子状態計算および電子系の自由エネルギー計算
- 分子軌道法プログラムにおける分極率の計算アルゴリズムの高性能化
- 分子動力学シミュレーションを用いた超伝導転移温度の推定
数値シミュレーションプログラム開発 事例
NSグリーン関数および動的遮蔽クーロン相互作用に
対する自己無撞着近似
関連サービス
コンパイラ開発
アーキテクチャの強みを生かした高性能かつユーザビリティの高いコンパイラを実現します。スパコン向けコンパイラは世界最先端の技術開発を支え、高いレベルの演算性能・品質が要求されます。ISO26262など機能安全・ハイセイフティ用途無向けのツール認証取得もご支援します。
アプリ高速化サービス
アーキテクチャ、コンパイラ、プログラムに潜在するボトルネックを迅速かつ的確に分析し最適なパフォーマンス(並列処理)を実現します。資源を最大限利用することで省電力も実現できます。
ポーティングサービス
ご指定のプログラムをお使いのスパコンで動作するように支援いたします。

